General description
Fumonisin B1 is a mycotoxin found in many Fusarium fungi, such as Fusarium moniliforme, Fusarium proliferatum, and Fusarium verticillioides. This toxin can also be found in feedstocks and food stocks, such as corn / maize, that have been infected with Fusarium.
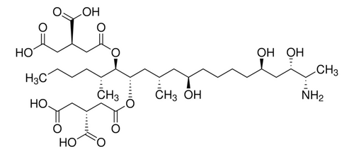
Fumonisin B1 (FB1) shares structure similarities with sphingosine. Thus fumonisin B1 can inhibit ceramide synthase (sphingosine N-acetyltransferase), which can lead to disruption of ceramide biosynthesis and complex sphingolipid biosynthesis.
Application
Fumonisin B1 from Fusarium moniliforme has been used:
- as a standard in the analysis of mycotoxins in caecal content obtained from adult pigs
- in the study of the effect of fumonisin B1 on the metabolism of prion protein (PrP) isoforms and the synthesis of scrapie prion protein PrPSc and
- in the study of the toxic effects of fumonisin B1 on explants obtained from pig jejunum.
Biochem/physiol Actions
Fumonisin B1 acts as a hepatocarcinogen and causes hepatotoxicity in rats. In horses, it causes leukoencephalitis, and in pigs, it causes pulmonary edema syndrome. In China and southern parts of Africa, it is linked with high incidence of esophageal cancer in humans. It acts as an inhibitor of sphingosine N-acyltransferase enzyme (ceramide synthase), related to structural similarities between fumonisin B1 and sphingoid bases like sphingosine.
Fungal metabolite believed to cause leukoencephalomalacia in horses.
Molecular Weight: 721.83. Empirical Formula: C34H59NO15. biological source: Fusarium sp. (Fusarium moniliforme). Quality Level: 300. Assay: ≥. 98% (HPLC). form: powder. solubility: methanol: 9.80-10.20 . mg/mL, clear, colorless to light yellow. storage temp.: 2-8°C. SMILES string: CCCC[C@@H](C)[C@@H](OC(: O)C[C@@H](CC(O): O)C(O): O)[C@H](C[C@@H](C)C[C@H](O)CCCC[C@@H](O)C[C@H](O)[C@H](C)N)OC(: O)C[C@@H](CC(O): O)C(O): O. InChI: 1S/C34H59NO15/c1-5-6-9-20(3)32(50-31(44)17-23(34(47)48)15-29(41)42)27(49-30(43)16-22(33(45)46)14-28(39)40)13-19(2)12-24(36)10-7-8-11-25(37)18-26(38)21(4)35/h19-27,32,36-38H,5-18,35H2,1-4H3,(H,39,40)(H,41,42)(H,45,46)(H,47,48)/t19-,20+,21-,22+,23+,24+,25+,26-,27-,32+/m0/s1. InChI key: UVBUBMSSQKOIBE-DSLOAKGESA-N. Pictograms: GHS06,GHS08. Signal Word: Danger. Hazard Statements: H301 - H351 - H361d - H373. Precautionary Statements: P202 - P260 - P264 - P280 - P301 + P310 - P405. Hazard Classifications: Acute Tox. 3 Oral - Carc. 2 - Repr. 2 - STOT RE 2. Storage Class Code: 6.1C - Combustible, acute toxic Cat.3 / toxic compounds or compounds which causing chronic effects. WGK: WGK 3. Flash Point(F): Not applicable. Flash Point(C): Not applicable. Personal Protective Equipment: Eyeshields, Gloves, type P3 (EN 143) respirator cartridges.- UPC:
- 41106201
- Condition:
- New
- HazmatClass:
- Yes
- MPN:
- F1147-5MG
- CAS:
- 116355-83-0
akash.verma@cenmed.com
(732) 447-1115





